Los mezcladores estáticos tipo Wafer son la optimización de la ingeniería frente al equipamiento en el proceso de mezclado, siendo una solución óptima frente a otras alternativas cuando el espacio disponible el limitado, cuando el diámetro de las tuberías crece y cuando la vida útil del equipo son importantes.

A diferencia de los mezcladores estáticos de tipo división de flujo, donde la mezcla se realiza principalmente mediante elementos que dividen y reorganizan el flujo, los mezcladores tipo wafer consisten en una placa que rompe el flujo laminar, produciendo una turbulencia controlada donde se inyectan los productos a agregar al caudal, favoreciendo una interacción de los elementos injectados a nivel de partículas.

Al ser una única placa de mezclado, es dificil que el mezclador pueda bloquearse por elementos presentes en el caudal.
Al realizarse la inyección "aguas abajo" de la placa de mezclado, los químicos inyectados no entran en contacto con el mezclador y no podrán afectar el equipo.
Estas cracterísticas logran una muy larga vida útl del equipo.

La misma característica de una placa única para crear turbulencia hace que el espacio requerído en la tubería para su instalación sea mínimo, instalándose en la tubería como si de una empaquetadura se tratara.
Su simplicidad permite que puedan ser utilizados para:

  • Mezclas de líquido/líquido
  • Dilución de gases en líquidos
  • Mezclas de gas/gas
  • Mezclas homogéneas de sólidos/sólidos (polvos)
  • Dilución de sólidos en líquidos

mezclador estatico #2800
El diseño simple y elegante funciona con eficiencia y no mecesita mantenimiento.
la forma del orificio y el ángulo de las pestañas fueron diseñados y probados por computadora para lograr la forma óptima para mezclar con mínima pérdida de carga.
Diseñado con una mínima huella, esta pensado para instalarse en espacios reducidos
No tiene piezas móviles que requieran mantenimiento ni atraigan residuos.
Adecuado para una amplia gama de aplicaciones, compacto y económico, y con una larga vida útil sin mantenimiento.
Puede integrar, dependiendo de su diámetro, hasta 6 conexiones de inyectores.

Desafortunadamente, estos términos se utilizan a menudo indistintamente, sobre todo en las especificaciones de proceso para mezcladores estáticos. Es importante comprender la diferencia entre la eficiencia del mezclador y la calidad de la mezcla para especificar correctamente los requisitos de rendimiento de un mezclador estático.

La calidad de la mezcla (coeficiente de variación - CoV) define el objetivo de la mezcla y, para la mayoría de las aplicaciones, un CoV de 0,05 garantiza una homogeneidad completa.

La eficiencia del mezclador, en cambio, indica cómo se alcanza el objetivo de la mezcla, no el objetivo en sí.

Generalmente, se puede lograr la misma calidad de mezcla tanto con diseños ineficientes como eficientes de mezcladores estáticos.
  • Un diseño de mezclador ineficiente tendrá una caída de presión relativamente alta y/o una longitud de mezcla larga.
  • Un diseño de mezclador eficiente tendrá una caída de presión relativamente baja y/o una longitud de mezcla corta.

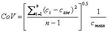
Cuando se mezclan dos fluidos en una tubería o canal, la calidad de la mezcla radial (a lo largo de la tubería o canal) se puede describir estadísticamente mediante el coeficiente de variación, CoV, que se define como:

...

Dónde:

  • ci es la diferencia entre la concentración de flujo de entrada y la del flujo más el aditivo.
  • cave es el valor promedio de c para cada una de los sondajes
  • n es el número de posiciones donde se mide la concentración
  • cmean es la concentración media de cada una de los sondajes.
  • es la suma de todos los términos entre paréntesis, es decir ...

En un dispositivo de mezcla radial, como una tubería o canal vacío, el coeficiente de variación (CoV) describe las desviaciones de las concentraciones locales con respecto a la media dentro de una sección transversal de la tubería o canal.
Suponiendo una distribución normal, se aplica aproximadamente lo siguiente:

  • Aproximadamente 2/3 de los valores estarán dentro de c (1 ± CoV )
  • Aproximadamente el 95% de los valores estarán dentro de c (1 ± 2 CoV )
  • Alrededor del 99,75% de los valores estarán dentro de c (1 ± 3 CoV ).

Cuanto menor sea el valor del coeficiente de variación (CoV), mejor será la calidad de la mezcla. El nivel de calidad requerido suele depender del proceso específico. Sin embargo, un CoV entre 0,01 y 0,05 es un objetivo razonable para la mayoría de las aplicaciones.

Esto significa que el 95 % de todas las mediciones de concentración que se tomen en la sección transversal de la tubería o canal estarán dentro de un margen de ±2 % de la concentración media para un CoV de 0,01 y de ±10 % para un CoV de 0,05.

  • Tratamientos de agua: Aguas residuales, Agua potable, Desalinización
  • Disolución y ozonización de gases.
  • Mezcla de polímeros.
  • Mezcla de productos químicos.
mezclador estatico #2800
...